服务热线
021-60498804
产品中心
/ Products Classification 点击展开+| Cat. Number | 819216677222889 |
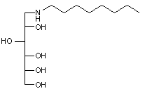
| Chemical Name | N-正辛基-D-葡萄糖胺 1-Octylamino-1-deoxy-D-glucitol 23323-37-7 98% 2.5kg |
| CAS Number | 23323-37-7 |
| Mol. Formula | C14H31NO5 |
| Mol. Weight | 293.4 |
| Qty 1 |
1kg |
| Qty 2 | 2kg |
下一个:D-绵子糖,五水合物,99%上一个:麦芽三糖/Maltotriose |
|




