服务热线
021-60498804
产品中心
/ Products Classification 点击展开+
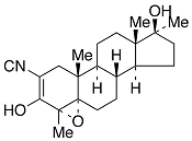
| Cat. Number | 733976815514014 |
| Chemical Name | Epostane |
| CAS Number | 80471-63-2 |
| Category | Pharmaceuticals, Intermediates & Fine Chemicals, Steroids, |
| Mol. Formula | C22H31NO3 |
| Mol. Weight | 357.49 |
| Qty 1 |
1mg |
| Qty 2 | 10mg |
| Application Notes | 3β-Hydroxysteroid dehydrogenase inhibitor; a derivative of trilostane. Interceptive. |
| Synonym | (4α,5α,17β)-4,5-Epoxy-3,17-dihydroxy-4,17-dimethylandrost-2-ene-2-carbonitrile; Win 32729; |
| References |
Creange, J.E., et al.: Contraception, 24, 289 (1981), |
下一个:Epothilone A上一个:E588782 |
|




