服务热线
021-60498804
产品中心
/ Products Classification 点击展开+
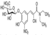
| Cat. Number | 733976589422458 |
| Chemical Name | Entacapone 3-β-D-Glucuronide |
| CAS Number | 158-69-75-1 |
| Category | Metabolites & Impurities, Pharmaceuticals, Intermediates & Fine Chemicals, |
| Mol. Formula | C20H23N3O11 |
| Mol. Weight | 481.41 |
| Qty 1 |
1mg |
| Qty 2 | 10mg |
| Application Notes | The main metabolite of Entacapone and Tolcapone. |
| Synonym | 5-[(1E)-2-Cyano-3-(diethylamino)-3-oxo-1-propenyl]-2-hydroxy-3-nitrophenyl β-D-Glucopyranosiduronic Acid; |
| References |
Mannisto, P., et al.: Prog. Drug Res., 39, 291(1992), |




