服务热线
021-60498804
产品中心
/ Products Classification 点击展开+
| Cat. Number | 733975659340003 |
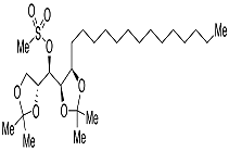
| Chemical Name | (2R,3R,4R,5R)-1,2:4,5-Di-O-isopropylidene-3-nonadecanol Methanesulfonate |
| CAS Number | 570414-09-4 |
| Category | Chiral Reagents, Sulfur & Selenium Compounds |
| Mol. Formula | C26H50O7S |
| Mol. Weight | 506.74 |
| Qty 1 |
25mg |
| Qty 2 | 250mg |
| Appearance | Colorless Oil |
| Synonym | (2R,3R,4R,5R)-3-O-Methanesulfonyl-1,2:4,5-di-O-isopropylidene-3-nonadecanol;(αR,4R,5R)- α-[(4R)-2,2-Dimethyl-1,3-dioxolan-4-yl]-2,2-dimethyl-5-tetradecyl-1,3-dioxolane-4-methanol Methanesulfonate |
| Solubility | Dichloromethane, Ethyl Acetate, Methanol |




