服务热线
021-60498804
产品中心
/ Products Classification 点击展开+
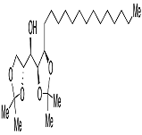
| Cat. Number | 733975817616051 |
| Chemical Name | (2R,3R,4S,5R)-1,2:4,5-Di-O-isopropylidene-3-nonadecanol |
| CAS Number | 570414-07-2 |
| Category | Aliphatics, Chiral Reagents |
| Mol. Formula | C25H48O5 |
| Mol. Weight | 428.65 |
| Qty 1 |
25mg |
| Qty 2 | 250mg |
| Appearance | Colorless Oil |
| Synonym | (2R,3R,4S,5R)-3-O-Hydroxy-1,2:4,5-di-O-isopropylidene-3-nonadecane;(αR,4S,5R)-α-[(4R)-2,2-Dimethyl-1,3-dioxolan-4-yl]-2,2-dimethyl-5-tetradecyl-1,3-dioxolane-4-methanol |
| Solubility | Dichloromethane, Ethyl Acetate, Methanol |




