服务热线
021-60498804
产品中心
/ Products Classification 点击展开+
| Cat. Number | 34-2200 |
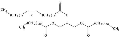
| Chemical Name | 34-2200 77145-68-7 1,3-二十二酸-2-油酸甘油酯 1,3-Behenin-2-Olein |
| CAS Number | 77145-68-7 |
| Mol. Formula | C65H124O6 |
| Mol. Weight | 1001.68 |
| Qty 1 |
25mg |
| Qty 2 | 100mg |
| Application Notes | >99% |
| Synonym | 1,3-Dibehenate-2-Oleate-Glycerol |
| Storage condition | Freezer |
| References | 1,3-二十二酸-2-油酸甘油酯 英文名称1,3-Behenin-2-Olein ,货号34-2200 上海惠诚提供25mg 100mg 1,3-二十二酸-2-油酸甘油酯 1,3-Behenin-2-Olein,丹麦Larodan原装进口,咨询电话021-60498804 1,3-二十二酸-2-油酸甘油酯 英文名称1,3-Behenin-2-Olein,货号34-2200 上海惠诚提供25mg 100mg 1,3-二十二酸-2-油酸甘油酯 1,3-Behenin-2-Olein,丹麦Larodan原装进口,咨询电话021-60498804
|




