服务热线
021-60498804
产品中心
/ Products Classification 点击展开+| Cat. Number | 900430996035007 |
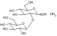
| Chemical Name | α-槐糖 单水合物 a-Sophorose monohydrate 20429-79-2 25mg/50mg |
| CAS Number | 20429-79-2 |
| Mol. Formula | C12H22O11.H2O |
| Mol. Weight | 360.31 |
| Qty 1 |
25mg |
| Qty 2 | 50mg |




