服务热线
021-60498804
产品中心
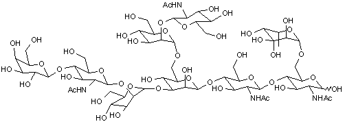
/ Products Classification 点击展开+| Cat. Number | 143692516076416 |
| Chemical Name | Monogalacosylated fucosylated asialo, agalacto, biantennary (G-NGA2F) |
| Mol. Formula | C62H104N4O46 |
| Mol. Weight | 1641.49 |
| Qty 1 |
25ug |
| Qty 2 | 50ug |




