服务热线
021-60498804
产品中心
/ Products Classification 点击展开+| Cat. Number | 013046123526710 |
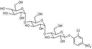
| Chemical Name | 2-氯-4-硝基苯基-β-D-麦芽三糖糖苷 2-Chloro-4-nitrophenyl b-D-maltotrioside |
| CAS Number | 165522-16-7 |
| Mol. Formula | C24H34ClNO18 |
| Mol. Weight | 659.98 |
| Qty 1 |
200mg |
| Qty 2 | 500mg |




