服务热线
021-60498804
产品中心
/ Products Classification 点击展开+| Cat. Number | 013034430056562 |
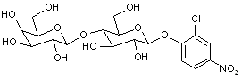
| Chemical Name | 2-氯-4-硝基苯基-β-D-乳糖苷 2-Chloro-4-nitrophenyl b-D-lactoside |
| CAS Number | 120583-41-7 |
| Mol. Formula | C18H24ClNO13 |
| Mol. Weight | 497.83 |
| Qty 1 |
10mg |
| Qty 2 | 25mg |




