服务热线
021-60498804
产品中心
/ Products Classification 点击展开+
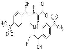
| Cat. Number | 733977779040467 |
| Chemical Name | Florfenicol Dimer Impurity |
| Category | Impurities, Pharmaceuticals, Intermediates & Fine Chemicals, Sulfur & Selenium Compounds, |
| Mol. Formula | C22H27Cl2FN2O7S2 |
| Mol. Weight | 585.49 |
| Qty 1 |
1mg |
| Qty 2 | 10mg |
| Application Notes | An impurity of Florfenicol. |




