服务热线
021-60498804
产品中心
/ Products Classification 点击展开+
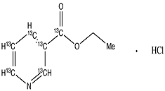
| Cat. Number | 733976305347492 |
| Chemical Name | Ethyl Nicotinate-1,2’,3’,4’,5’,6’-13C6 |
| Category | Aromatics, Heterocycles, Isotope Labelled Compounds, Nicotine Derivatives |
| Mol. Formula | C213C6H9NO2 |
| Mol. Weight | 157.12 |
| Qty 1 |
1mg |
| Qty 2 | 10mg |
| Appearance | Brown Oil |
| Application Notes | A labelled nicotinic acid derivative used for skin-conditioning cosmetics. |
| Synonym | ############################################################################################################################################################################################################################################################### |
| Solubility | Dichloromethane, Ethyl Acetate, Methanol |
| Stability | Volatile |
| References |
Bronaugh, R., et al.: Toxicol. Appl. Pharmacol., 62, 481 (1982), |




