服务热线
021-60498804
产品中心
/ Products Classification 点击展开+
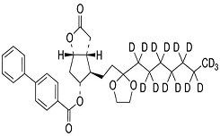
| Cat. Number | 733976253301112 |
| Chemical Name | (3aR,4R,5R,6aS)-4-[3-(Ethyleneketal)decanyl]hexahydro-5-hydroxy-2H-cyclopenta[b]furan-2-one 5-(4-Phenylbenzoate)-d15 |
| Category | Aromatics, Chiral Reagents, Heterocycles, Isotope Labelled Compounds, Pharmaceuticals, Intermediates & Fine Chemicals |
| Mol. Formula | C32H25D16O6 |
| Mol. Weight | 535.75 |
| Qty 1 |
25mg |
| Qty 2 | 250mg |
| Appearance | Colourless Oil |
| Application Notes | Intermediate in the preparation of prostaglandin derivatives |
| Synonym | [3aR-(3aα,4α,5β,6aα)]-[1,1'-Biphenyl]-4-carboxylic acid 4-[2-(2-Heptyl-1,3-dioxolan-2-yl)ethyl]hexahydro-2-oxo-2H-cyclopenta[b]furan-5-yl Ester-d15 |
| Solubility | Dichloromethane, Ethyl Acetate, Methanol |




