服务热线
021-60498804
产品中心
/ Products Classification 点击展开+
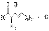
| Cat. Number | 733976496219699 |
| Chemical Name | Ethyl-D-erythro-sphingosinate Hydrochloride |
| CAS Number | 355803-79-1 |
| Category | Glycerols, Fatty Acid Derivatives & Lipids, Intermediates |
| Mol. Formula | C20H40ClNO3 |
| Mol. Weight | 379.99 |
| Qty 1 |
50mg |
| Qty 2 | 500mg |
| Appearance | White Powder |
| Synonym | Ethyl trans-D-Erythro-2-amino-3-hydroxy-4-octadecenoate; (2R,3R,4E)-2-Amino-3-hydroxy-4-octadecenoic Acid Ethyl Ester Hydrochloride; |
| Melting Pt. | 124-127°C |
| Solubility | Methanol |




