服务热线
021-60498804
产品中心
/ Products Classification 点击展开+
| Cat. Number | 733976792357361 |
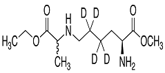
| Chemical Name | Nε-(Ethoxycarbonylethyl)-L-lysine-d4 Methyl Ester (Mixture of Diastereomers) |
| Category | Amino Acids & Derivatives, Isotope Labelled Compounds |
| Mol. Formula | C12H20D4N2O4 |
| Mol. Weight | 264.35 |
| Qty 1 |
2.5mg |
| Qty 2 | 25mg |
| Appearance | Yellow Oil |
| Application Notes | Labelled Lysine derivative. |
| Synonym | (S)-N6-(2-Ethoxy-1-methyl-2-oxoethyl)-L-lysine-d4 Methyl Ester; |
| Solubility | Chloroform, Dichloromethane, Ether, Methanol |




