服务热线
021-60498804
产品中心
/ Products Classification 点击展开+
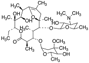
| Cat. Number | 733976739792162 |
| Chemical Name | Erythromycin A Enol Ether |
| CAS Number | 33396-29-1 |
| Category | Metabolites & Impurities, Pharmaceuticals, Intermediates & Fine Chemicals, |
| Mol. Formula | C37H65NO12 |
| Mol. Weight | 715.92 |
| Qty 1 |
10mg |
| Qty 2 | 100mg |
| Appearance | White Solid |
| Application Notes | Impurity E. |
| Synonym | 11-(4-Dimethylamino-3-hydroxy-6-methyl-tetrahydro-pyran-2-yloxy)-5-ethyl-3,4-dihydroxy-9-(5-hydroxy-4-methoxy-4,6-dimethyl-tetrahydro-pyran-2-yloxy)-2,4,8,10,12,14-hexamethyl-6,15-dioxa-bicyclo[10.2.1]pentadec-1(14)-en-7-one; |
| Melting Pt. | 133-1350C |
| Solubility | Chloroform, Methanol |
| Storage condition | -20°C Freezer |
| References |
McGuire, J.M., et al.: Antibiot. Chemother., 6, 281 (1952), |




