服务热线
021-60498804
产品中心
/ Products Classification 点击展开+
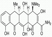
| Cat. Number | 733976161934944 |
| Chemical Name | 4-Epi Doxycycline (>70%) |
| CAS Number | 6543-77-7 |
| Category | Chiral Reagents, Pharmaceuticals, Intermediates & Fine Chemicals |
| Mol. Formula | C22H24N2O8 |
| Mol. Weight | 444.43 |
| Qty 1 |
1mg |
| Qty 2 | 10mg |
| Appearance | Yellow Solid |
| Application Notes | An alternative to doxycycline to control gene expression. |
| Synonym | (4R,4aR,5S,5aR,6R,12aS)-4-(Dimethylamino)-1,4,4a,5,5a,6,11,12a-octahydro-3,5,10,12,12a-pentahydroxy-6-methyl-1,11-dioxo-2-naphthacenecarboxamide; 6-Deoxy-4-epioxytetracycline |
| Melting Pt. | >176?C |
| Solubility | Methanol, Pyridine |
| Storage condition | Amber Vial, -20°C Freezer, Under Inert Atmosphere |
| References |
Schiffer, I., et al.: Cancer Res. 63, 7221 (2003), |




