服务热线
021-60498804
产品中心
/ Products Classification 点击展开+
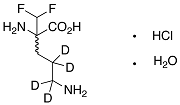
| Cat. Number | 733976482909559 |
| Chemical Name | Eflornithine-d4 Hydrochloride Monohydrate |
| Category | Amines, Inhibitors, Isotope Labelled Compounds, Pharmaceuticals, Intermediates & Fine Chemicals |
| Mol. Formula | C6H11D4ClF2N2O3 |
| Mol. Weight | 240.67 |
| Qty 1 |
5mg |
| Application Notes | Labelled Eflornithine. Irreversible inhibitor of ornithine decarboxylase, an enzyme involved in polyamine biosynthesis. Antineoplastic; antipneumocystic; antiprotozoal (Trypanosoma). Used in the treatment of hirsutism. |
| Synonym | ############################################################################################################################################################################################################################################################### |
| References |
Bacchi, C.J., et al.: Science, 210, 332 (1980), |




