服务热线
021-60498804
产品中心
/ Products Classification 点击展开+
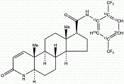
| Cat. Number | 733976365431050 |
| Chemical Name | Dutasteride-13C6 |
| Category | Inhibitors, Isotope Labelled Compounds, Pharmaceuticals, Intermediates & Fine Chemicals, Steroids, |
| Mol. Formula | C2113C6H30F6N2O2 |
| Mol. Weight | 534.49 |
| Qty 1 |
1mg |
| Qty 2 | 10mg |
| Appearance | Pale Yellow Solid |
| Application Notes | Used in the treatment of benign prostatic hyperplasia. Dual inhibitor of 5α-reductase isoenzymes type 1 and 2; structurally related to Finasteride. |
| Synonym | (5α,17β)-N-[2,5-Bis(trifluoromethyl)phenyl-13C6]-3-oxo-4-azaandrost-1-ene-17-carboxamide; Avodart-13C6; GG 745-13C6; GI 198745-13C6; |
| Melting Pt. | 113-117?C |
| Solubility | Chloroform, Methanol |
| Storage condition | -20°C Freezer |
| References |
Bakshi, R.K., et al.: J. Med. Chem., 38, 3189 (1995), |




