服务热线
021-60498804
产品中心
/ Products Classification 点击展开+
| Cat. Number | 733975246179748 |
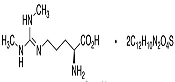
| Chemical Name | NG,NG’-Dimethy-L-arginine Di(p-hydroxyazobenzene-p’-sulfonate) Salt |
| CAS Number | 102783-24-4 |
| Category | Amino Acids & Derivatives, Pharmaceuticals, Intermediates & Fine Chemicals, |
| Mol. Formula | C32H38N8O10S2 |
| Mol. Weight | 758.82 |
| Qty 1 |
1mg |
| Qty 2 | 10mg |
| Application Notes | An arginine derivative; used in chronic kidney diseases.A potential endogenous nitric oxide inhibitor in dialysis. |
| Synonym | N5-[(Dimethylamino)iminomethyl]-L-ornithine bis[4-[(4-hydroxyphenyl)azo]benzenesulfonate]; SDMA; |
| References | ############################################################################################################################################################################################################################################################### |




