服务热线
021-60498804
产品中心
/ Products Classification 点击展开+
| Cat. Number | 733975821362032 |
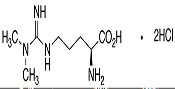
| Chemical Name | NG,NG-Dimethylarginine Dihydrochloride |
| CAS Number | 220805-22-1 |
| Category | Amino Acids & Derivatives, Pharmaceuticals, Intermediates & Fine Chemicals, |
| Mol. Formula | C8H20Cl2N4O2 |
| Mol. Weight | 275.18 |
| Qty 1 |
50mg |
| Qty 2 | 500mg |
| Appearance | White to Off-White Solid |
| Application Notes | A potent inhibitor of NO synthase of adrenal glands, brain, and vascular endothelial cells. |
| Synonym | N5-[(Dimethylamino)iminomethyl]-L-ornithine Dihydrochloride; ADMA; |
| Melting Pt. | 82-84OC |
| Boiling Pt. | N/A |
| Solubility | DMSO, Methanol, Water |
| Storage condition | Hygroscopic, -20°C Freezer, Under Inert Atmosphere |
| Stability | Store at 0-5°C; Moisture Sensitive; Hygroscopic |
| References | Vallence, P., et al.: Lancet, 339, 572 (1992), |




