服务热线
021-60498804
产品中心
/ Products Classification 点击展开+
| Cat. Number | 733975782383770 |
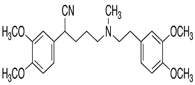
| Chemical Name | 2-(3,4-Dimethoxy-phenyl)-5-{[2-(3,4-dimethoxyphenyl)-ethyl]methyl-amino}-pentanenitrile |
| CAS Number | 95748-23-5 |
| Category | Aromatics, Intermediates |
| Mol. Formula | C24H32N2O4 |
| Mol. Weight | 412.52 |
| Qty 1 |
200mg |
| Qty 2 | 2g |
| Appearance | Brown Oil |
| Synonym | 5-[(3,4-Dimethoxyphenethyl)methylamino]-2-(3,4-dimethoxyphenyl)valeronitrile; |
| Solubility | Benzene, Dichloromethane, Ethyl Acetate, Toluene |




