服务热线
021-60498804
产品中心
/ Products Classification 点击展开+
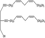
| Cat. Number | 733975122239404 |
| Chemical Name | 1,2-Dilinoleoylglycerol |
| CAS Number | 2442-62-8 |
| Category | Glycerols, Fatty Acid Derivatives & Lipids |
| Mol. Formula | C39H68O5 |
| Mol. Weight | 616.95 |
| Qty 1 |
100mg |
| Qty 2 | 1g |
| Application Notes | Diacylglycerols from palm oil deodorizer distillate. Immunostimulants. |
| Synonym | (9Z,12Z)-9,12-Octadecadienoic Acid 1,1'-[1-(Hydroxymethyl)-1,2-ethanediyl]ester; 1,2-Dilinolein; |
| References |
Motilva, M., et al.: J. Food Biochem., 16, 323 (1993), |




