服务热线
021-60498804
产品中心
/ Products Classification 点击展开+
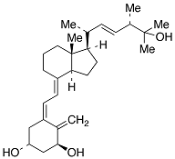
| Cat. Number | 733975903706901 |
| Chemical Name | 1α,25-Dihydroxy Vitamin D2 |
| CAS Number | 60133-18-8 |
| Category | Chiral Reagents, Pharmaceuticals, Intermediates & Fine Chemicals |
| Mol. Formula | C28H44O3 |
| Mol. Weight | 428.65 |
| Qty 1 |
25mg |
| Application Notes | The active metabolite of Vitamin D2 (V676040). |
| Synonym | ############################################################################################################################################################################################################################################################### |
| References |
Lam, H., et al.: Science, 186, 1038 (1974), |




