服务热线
021-60498804
产品中心
/ Products Classification 点击展开+
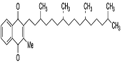
| Cat. Number | 733975638555522 |
| Chemical Name | β,γ-Dihydro Vitamin K1 |
| CAS Number | 64236-23-3 |
| Category | Aromatics, Pharmaceuticals, Intermediates & Fine Chemicals |
| Mol. Formula | C31H48O2 |
| Mol. Weight | 452.71 |
| Qty 1 |
5mg |
| Qty 2 | 10mg |
| Application Notes | Vitamin K1 derivative; a compound formed during hydrogenation of oils containing Vitamin K1. |
| Synonym | 2-Methyl-3-(3,7,11,15-tetramethylhexadecyl)-1,4-naphthalenedione; |
| References |
Booth, S., et al.: Lipids, 31, 709 (1996), |




