服务热线
021-60498804
产品中心
/ Products Classification 点击展开+
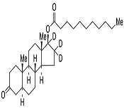
| Cat. Number | 733975859804323 |
| Chemical Name | 5α-Dihydro Testosterone Undecanoate-d3 |
| Category | Isotope Labelled Compounds, Pharmaceuticals, Intermediates & Fine Chemicals, Steroids |
| Mol. Formula | C30H47D3O3 |
| Mol. Weight | 461.73 |
| Qty 1 |
1mg |
| Qty 2 | 10mg |
| Application Notes | A labelled metabolite of Testosterone undecanoate.Controlled substance. |
| Synonym | Dihydrotestosterone Undecanoate-d3; (5α,17β)-17-[(1-Oxoundecyl)oxy]androstan-3-one-d3; |
| References |
Houwing, N., et al.: Pharmacother., 23, 1257 (2003), |




