服务热线
021-60498804
产品中心
/ Products Classification 点击展开+
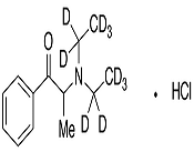
| Cat. Number | 733975110751608 |
| Chemical Name | rac Diethylpropion-d10 Hydrochloride |
| Category | Aromatics, Isotope Labelled Compounds, Pharmaceuticals, Intermediates & Fine Chemicals, |
| Mol. Formula | C13H10D10ClNO |
| Mol. Weight | 251.82 |
| Qty 1 |
1mg |
| Qty 2 | 10mg |
| Appearance | Crystalline Solid |
| Application Notes | Controlled substance (stimulant). Anorexic. |
| Synonym | 2-(Diethylamino-d10)-1-phenyl-1-propanone Hydrochloride; 2-(Diethylamino-d10)propiophenone Hydrochloride; α-Benzoyltriethylammonium-d10 Chloride; Amfepramon-d10 Hydrochloride; Anorex-d10; Dobesin-d10; Moderatan-d10; |
| Melting Pt. | 1680C |
| References |
Cahen, et al.: Therapie, 17, 373 (1962), |




