服务热线
021-60498804
产品中心
/ Products Classification 点击展开+
| Cat. Number | 733974514000759 |
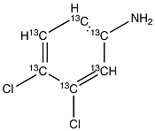
| Chemical Name | 3,4-Dichloroaniline-13C6 |
| CAS Number | 89059-40-5 |
| Category | Amines, Aromatics, Isotope Labelled Compounds |
| Mol. Formula | 13C6H5Cl2N |
| Mol. Weight | 167.97 |
| Qty 1 |
5mg |
| Qty 2 | 10mg |
| Application Notes | An intermediate in the synthesis of (13C6)N-(3,4-dichlorophenyl)-2,2-dimethylpropanamide. |
| Synonym | 3,4-Dichlorobenzenamine-1,2,3,4,5,6-13C6; 3,4-Dichlorophenylamine-13C6; 4,5-Dichloroaniline-13C6; 4-Amino-1,2-dichlorobenzene-13C6; DCA-13C6; LY 004892-13C6; NSC 247-13C6; m,p-Dichloroaniline-13C6; |
| References |
Rosevear, J., et al.: Aust. J. Chem., 38, 723 (1985), |




