服务热线
021-60498804
产品中心
/ Products Classification 点击展开+
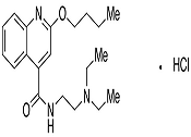
| Cat. Number | 733974804158222 |
| Chemical Name | Dibucaine Hydrochloride |
| CAS Number | 61-12-1 |
| Category | Amines, Heterocycles, Pharmaceuticals, Intermediates & Fine Chemicals |
| Mol. Formula | C20H30ClN3O2 |
| Mol. Weight | 379.92 |
| Qty 1 |
10mg |
| Qty 2 | 100mg |
| Appearance | White Solid |
| Application Notes | Anesthetic (local). |
| Synonym | 2-Butoxy-N-[2-(diethylamino)ethyl]-4-quinolinecarboxamide Hydrochloride; 2-Butoxy-N-(2-diethylaminoethyl)cinchoninamide Hydrochloride; Benzolin; Cincaine; Cincaine Chloride; Nupercaine Hydrochloride; Percain; Percaine; Percamin S; Sovcain; Sovcaine; |
| Melting Pt. | 95-97°C |
| Solubility | DMSO, Methanol |
| Storage condition | Refrigerator |
| References |
Padmanabhan, G.R., et al.: Anal. Profiles Drug Subs., 12, 105 (1983), |




