服务热线
021-60498804
产品中心
/ Products Classification 点击展开+
| Cat. Number | 733974175020918 |
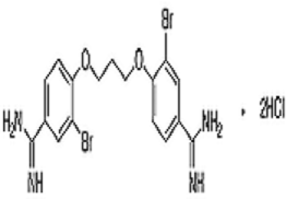
| Chemical Name | Dibromopropamidine Dihydrochloride |
| CAS Number | 50357-61-4 |
| Category | Amines, Aromatics, Pharmaceuticals, Intermediates & Fine Chemicals |
| Mol. Formula | C17H20Br2Cl2N4O2 |
| Mol. Weight | 543.08 |
| Qty 1 |
10mg |
| Qty 2 | 100mg |
| Appearance | Off -White Solid |
| Application Notes | Antibacterial. Clinical use in Acanthamoeba keratitis. |
| Synonym | 4,4'-[1,3-Propanediylbis(oxy)]bis[3-bromobenzenecarboximidamide Dihydrochloride; 2,2'-Dibromopropamidine; 4,4'-(Trimethylenedioxy)bis(3-bromobenzamidine) Dihydrochloride; Dibrompropamidine Dihydrochloride; |
| Melting Pt. | 301-303?C |
| Solubility | Methanol |
| Storage condition | Refrigerator |
| References |
Wien, R., et al.: Lancet, 254, 711 (1948), |




