服务热线
021-60498804
产品中心
/ Products Classification 点击展开+
| Cat. Number | 733974498571856 |
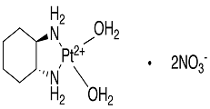
| Chemical Name | Diaquo[(1R,2R)-1,2-cyclohexanediamine]platinum Dinitrate |
| CAS Number | 94042-08-7 |
| Category | Amines, Heterocycles, Pharmaceuticals, Intermediates & Fine Chemicals, |
| Mol. Formula | C6H18N4O8Pt |
| Mol. Weight | 469.31 |
| Qty 1 |
5mg |
| Qty 2 | 50mg |
| Application Notes | Oxaliplatin (O845075) intermediate as anti-cancer therapeutic agent and dual therapeutic/imaging contrast agent. |
| Synonym | (SP-4-2)-Diaqua[(1R,2R)-1,2-cyclohexanediamine-κN,κN']platinum(2+) Dinitrate; [SP-4-2-(1R-trans)]-Diaqua(1,2-cyclohexanediamine-N,N')platinum(2+) Dinitrate; Diaquo[trans-(-)-1,2-cyclohexanediamine]platinum(II) Dinitrate; |
| References | Hollis, L. S., et al.: J. Med. Chem., 33, 105 (1990), |




