服务热线
021-60498804
产品中心
/ Products Classification 点击展开+
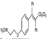
| Cat. Number | 733974100644700 |
| Chemical Name | N-Desmethyl Tamoxifen-d5Discontinued see: D293902 |
| Category | Isotope Labelled Compounds, Metabolites |
| Mol. Formula | C25H22D5NO |
| Mol. Weight | 362.52 |
| Qty 1 |
1mg |
| Qty 2 | 10mg |
| Appearance | Off-White Solid |
| Application Notes | A labelled metabolite of the anti-cancer drug Tamoxifen (T006000). |
| Synonym | N-Demethyltamoxifen-ethyl-d5 |
| Melting Pt. | 75-76°C |
| Solubility | Chloroform, Ethyl Acetate |




